[MORE IRAQ / ABU GHRAIB][THE-SIGNAL.COM][S.C.V. HISTORY IN PICTURES]

Pentagon Documents:
Approved Interrogation Methods for Guantanamo Bay
Declassified/Released 6-22-2004

(Documents open in new window)

Memo: Request for Approval of Counter-Resistance Strategies, 10-11-2002
    Page 1 of 3
    Page 2 of 3
    Page 3 of 3

Action Memo: Approval of Counter-Resistance Techniques, 11-27-2002
    (One Page)

Memo: Recission of Counter-Resistance Techniques, 1-15-2003
    (One Page)

Memo: Approval of Counter-Resistance Techniques, 4-16-2003
    Memo
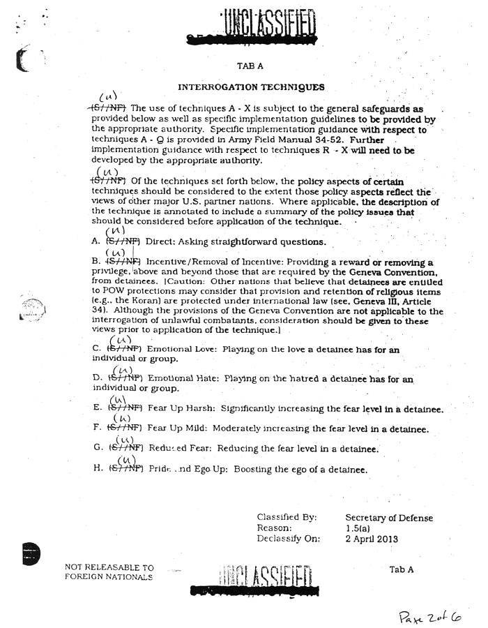
Attachment/Tab A: Interrogation Techniques
    Page 1 of 3
    Page 2 of 3
    Page 3 of 3
Attachment/Tab B: General Safeguards
    Page 1 of 2
    Page 2 of 2

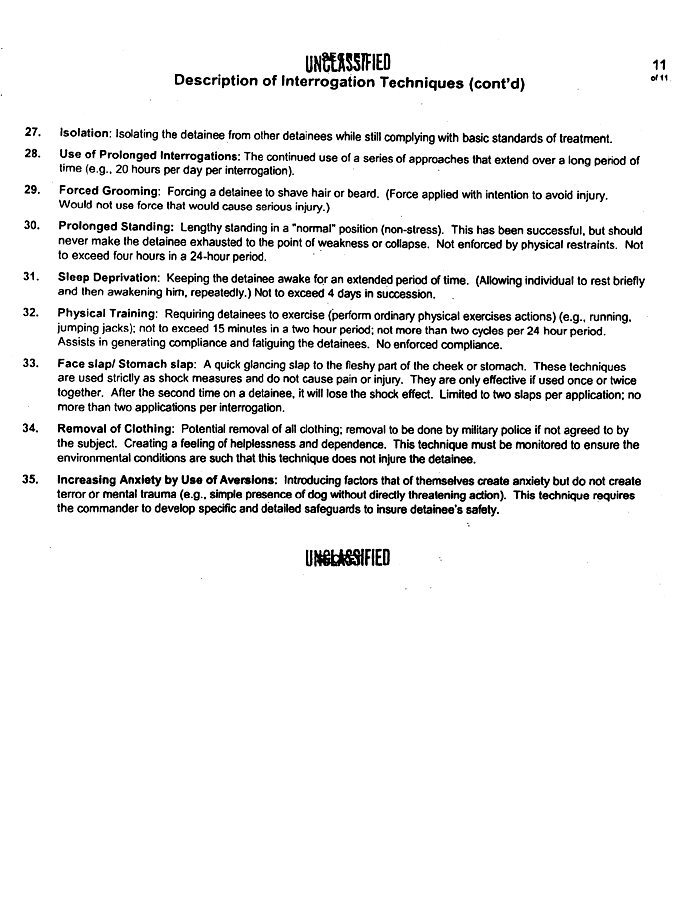
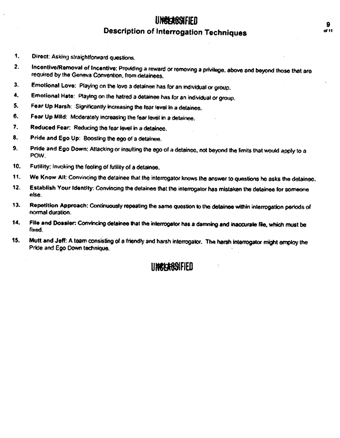
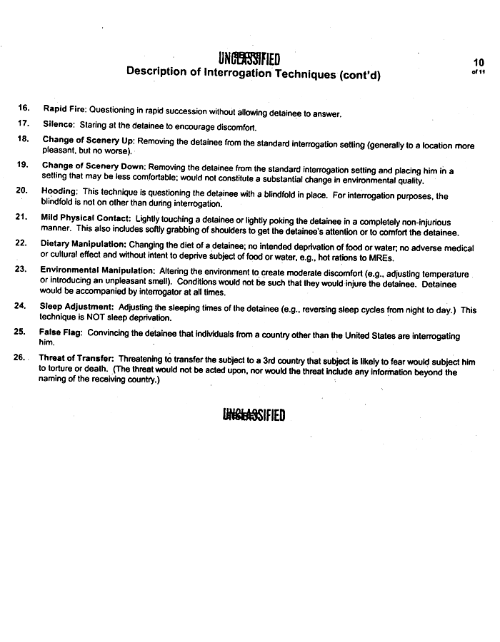
Glossary: Description of Interrogation Techniques
    Page 1 of 3
    Page 2 of 3
    Page 3 of 3